РГ — расформирование груза; означает взятие груза с ГЗП или средства пакетирования, перенос и укладку его в штабель;
ЗГ — зацепка (строповка) груза; включает работы по обвязке груза или навешиванию на ГЗП, а также переход рабочего к грузу и от груза;
ОГ—отцепка (отстроповка) груза; включает снятие с груза ГЗП, подход рабочего к грузу и отход от него;
ЗП — зацепка (навешивание) ГЗП без груза на грузозахватный орган перегрузочной машины, подход к ГЗП и отход от него;
ОП — отцепка (снятие) ГЗП без груза с грузозахватного органа перегрузочной машины, подход к ГЗП и отход от него;
ХГ — перемещение груза перегрузочной машиной;
ХП — перемещение машины или грузозахватного органа машины без груза.
Для расчетов степени безопасности принимаются элементы технологических операций, выполняемые с использованием ручного труда. К ним относятся: ФГ, РГ, ЗГ, ОГ, ЗП и ОП.
4. Безопасность технологической схемы характеризуется таким соотношением опасных факторов на всех фазах ее существования, при котором вероятность возникновения несчастных случаев сводится к минимуму.
5. Степень безопасности технологической схемы — вероятность отсутствия несчастных случаев при работе по данной схеме.
6. Степень травмоопасности — вероятность наступления хотя бы одного несчастного случая при тех же условиях.
7. Аварийная единица трудоемкости — элементарный промежуток времени, в течение которого с одним человеком происходит один несчастный случай; принимается равным 1 чел.-с.
8. Рабочий цикл — период времени между двумя начальными технологическими операциями при работе по одной технологической схеме.
Приложение 3 (справочное)
НОРМАТИВНАЯ БАЗА ДЛЯ РАСЧЕТА СТЕПЕНИ БЕЗОПАСНОСТИ ТЕХНОЛОГИЧЕСКИХ СХЕМ ПРР
Показатель | Обозначение | Источник получения, метод определения | ||
1. Обозначение индексов: индекс элемента технологических операций | i
| Для расчетов принимаются элементы: ФГ, РГ, ЗГ, ОГ, ЗП, ОП; i=1, 2, 3, 4, 5, 6; | ||
индекс технологической схемы | i | i=1, 2, 3, ..,n r=1, 2, 3, 4, 5, 6 | ||
индекс категории грузов | r | « В табл. 1 Методики r=1, 2, 3, 4, 5, 6 | ||
2. Трудоемкость элементов технологических операций | tlkj | Определяется по методике расчета комплексных норм выработки на ПРР, изложенной в Нормативах на погрузочно-разгрузочные работы, выполняемые в морских портах (М.: Транспорт, 1964). | ||
3. Элементарная вероятность возникновения несчастного случая при выполнении j-ro элемента технологической операции | Р'ikj | Выбирается из табл. 1 Методики. Значения определены на основе статистических данных по портам ММФ за 1966— 1979 гг. Корректируется один раз в 5 лет. Может быть рассчитана по каждому порту, пароходству, бассейну методом, изложенным в прил. 4 | ||
4. Удельные затраты на 1 т груза при перегрузке по i-й технологической схеме k-то груба | S'' ik | Определяются в соответствии с РД 31.40.04 — 80. «Методика оптимизации технологических процессов погрузочно-разгрузочных работ и выбора средств технологического оснащения» | ||
5. Средние убытки от одного несчастного случая | Sy | По портам ММФ составляют 600 р. на один несчастный случай | ||
Приложение 4 (рекомендуемое)
УСТАНОВЛЕНИЕ КОЛИЧЕСТВЕННОЙ ОЦЕНКИ ВЛИЯНИЯУДЕЛЬНОЙ ТРУДОЕМКОСТИ ПЕРЕГРУЗКИ НА ПОКАЗАТЕЛЬ ЧАСТОТЫ НЕСЧАСТНЫХ СЛУЧАЕВ
1. Основной задачей при построении уравнения регрессии является определение вида аналитической зависимости результативного признака kчk от фактора Тудк
Исходными данными служат статистические показатели удельной трудоемкости перегрузки k-ro груза Tудк и частоты несчастных случаев, имевших место при перегрузке этого груза, Rчк за ряд лет (не менее 10).
1.1. Коэффициент частоты несчастных случаев при перегрузке k-го груза определяется следующим образом:
(1)
где Rчк — коэффициент частоты несчастных случаев при перегрузке k-ro груза;
hk — число несчастных случаев, имевших место при перегрузке k-ro груза за изучаемый период (за год);
Nk —среднесписочнсе число рабочих, занятых на перегрузке k-ro груза за тот же период:
(2)
где EТk—суммарная трудоемкость перегрузки k-ro груза, чел.-смен;
Тгод — средний годовой бюджет рабочего времени на 1 рабочего, смен.
1.2. Удельная трудоемкость перегрузки k-то грузаТудк определяется по формуле (чел.-смен/тыс, т)
(3)
где Qk—грузооборот k-ro груза, перегружаемого за изучаемый период времени (за год), тыс. т-
2. Уравнение регрессии линейной зависимости имеет вид
(4)
3. Для определения коэффициентов регрессии а0 и а необходимо решить систему уравнений:
(5)
(6)
4. Результаты расчетов рекомендуется сводить в табличную форму:
№ наблюдения | RЧК | Тудk | Т2удk | RЧК Тудk | R2ЧК |
1 |
|
|
|
|
|
2 |
|
|
|
|
|
3 |
|
|
|
|
|
|
|
|
|
|
|
m |
|
|
|
|
|
| E RЧК | EТудк | EТ2удк | E RЧКТудк | ER2ЧК |
5. Для проверки статистической значимости уравнения (4), т. е. для определения, насколько уравнение точно описывает связь фактора Тудк с результативным показателем RЧК, необходимо вычислить величину а:
(6)
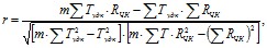
где r- коэффициент корреляции:
Qr-среднеквадратичная ошибка коэффициента корреляции
(7)
Коэффициент корреляции r вычисляется по формуле
(8)
6. В случае, если величина а из уравнения (6) меньше 1,96 (что соответствует доверительной вероятности 95%), то гипотеза о наличии связи между Тудк и RЧК k принимается и уравнение (4) можно использовать для практических целей.
8- Для выбора вида функции рекомендуется следующий способ: на график с осями RЧК и Тудк (см. рисунок) выносят статистические данные указанных показателей; соединив плавной кривой нанесенные точки, визуально определяют вид функции, например:
а — линейная RЧК = аo+а1 Тудк ,
б — нелинейная RЧК = аo eа1 Тудк
